
Xiaofei Sun, Zijun Zhen, Zhuowei Liu and collaborators from the State Key Laboratory of Oncology in South China and Sun Yat-sen University Cancer Center, Guanghzou China have just published in Cancers the results from their clinical experience with metronomic maintenance in neuroblastoma entitled :Oral Metronomic Maintenance Therapy Can Improve Survival in High-Risk Neuroblastoma Patients Not Treated with ASCT or Anti-GD2 Antibodies
Abstract
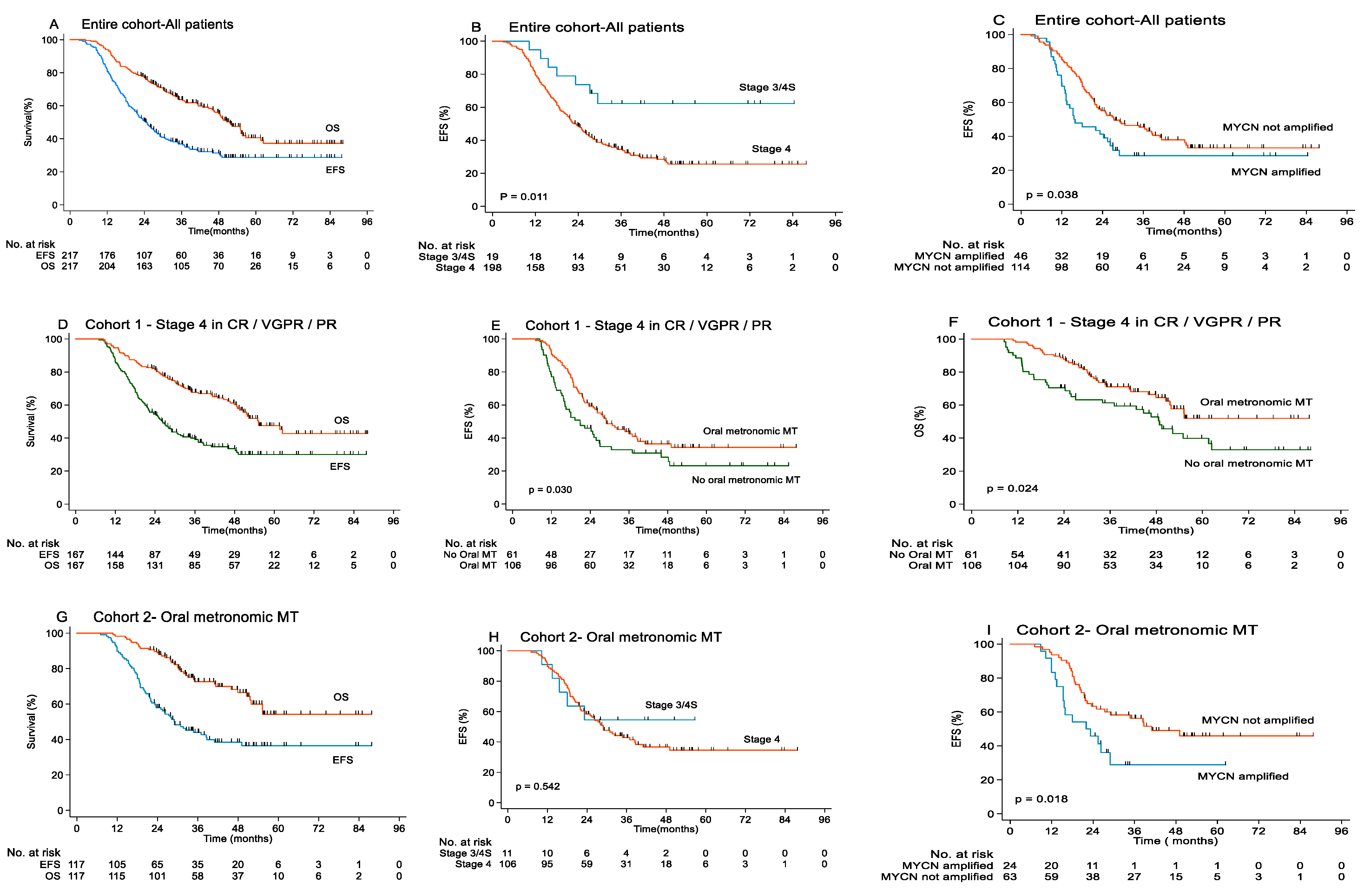
Despite aggressive treatment, the prognosis of high-risk NB patients is still poor. This retrospective study investigated the benefits of metronomic maintenance treatment (MT) in high-risk NB patients without ASCT or GD2 antibody therapy. Patients aged ≤ 21 years with newly diagnosed high-risk NB were included. Patients with complete/very good partial remission (CR/VGPR/PR) to conventional treatment received, or not, oral metronomic MT for 1 year. Two hundred and seventeen high-risk NB patients were enrolled. One hundred and eighty-five (85%) had a CR/VGPR/PR to conventional treatment, of the patients with stage 4, 106 receiving and 61 not receiving oral metronomic MT, and the 3-year event-free survival (EFS) rate was 42.5 ± 5.1% and 29.6 ± 6%, respectively (p = 0.017), and overall survival (OS) rate was 71.1 ± 4.7% and 59.4 ± 6.4%, respectively (p = 0.022). A total of 117 high-risk patients with oral metronomic MT had EFS rate of 42.7 ± 4.8%. The toxicity of MT was mild. For high-risk NB patients without ASCT or anti-GD2 antibody therapy, stage 4, MYCN amplication and patients with stage 4 not receiving oral metronomic MT after CR/VGPR/PR were independent adverse prognostic factors. Oral metronomic MT can improve survival in high-risk NB patients in CR/VGPR/PR without ASCT or anti-GD2 antibodies therapy.
free full text can be found here
Comment on this article
discussion